日期:2022-09-14 09:57 點擊:
初中數學實際問題與二次函數商品利潤最大問題
1.經歷數學建模的基本過程,能分析實際問題中變量之間的二次函數關系。
2.會運用二次函數求實際問題中的最大值或最小值。
3.能應用二次函數的性質解決商品銷售過程中的最大利潤問題。
一、情境導入
紅光旅社有100張床位,每床每日收費10元,客床可全部租出,若每床每日收費提高2元,則租出床位減少10張,若每床每日收費再提高2元,則租出床位再減少10張,以每提高2元的這種方式變化下去,每床每日應提高多少元,才能使旅社獲得最大利潤?
二、合作探究
探究點一:最大利潤問題
【類型一】利用解析式確定獲利最大的條件
為了推進知識和技術創新、節能降耗,使我國的經濟能夠保持可持續發展.某工廠經過技術攻關后,產品質量不斷提高,該產品按質量分為10個檔次,生產第一檔次(即最低檔)的新產品一天生產76件,每件利潤10元,每提高一個檔次,每件可節約能源消耗2元,但一天產量減少4件.生產該產品的檔次越高,每件產品節約的能源就越多,是否獲得的利潤就越大?請你為該工廠的生產提出建議.
解析:在這個工業生產的實際問題中,隨著生產產品檔次的變化,所獲利潤也在不斷的變化,于是可建立函數模型;找出題中的數量關系:一天的總利潤=一天生產的產品件數×每件產品的利潤;其中,“每件可節約能源消耗2元”的意思是利潤增加2元;利用二次函數確定最大利潤,再據此提出自己認為合理的建議.
解:設該廠生產第x檔的產品一天的總利潤為y元,則有y=[10+2(x-1)][76-4(x-1)]=-8x2+128x+640=-8(x-8)2+1152.當x=8時,y最大值=1152.由此可見,并不是生產該產品的檔次越高,獲得的利潤就越大.建議:若想獲得最大利潤,應生產第8檔次的產品.(其他建議,只要合理即可)
【類型二】利用圖象解析式確定最大利潤
某水果店銷售某種水果,由歷年市場行情可知,從第1月至第12月,這種水果每千克售價y1(元)與銷售時間第x月之間存在如圖①所示(一條線段)的變化趨勢,每千克成本y2(元)與銷售時間第x月滿足函數關系式y2=mx2-8mx+n,其變化趨勢如圖②所示.
(1)求y2的解析式;
(2)第幾月銷售這種水果,每千克所獲得利潤最大?最大利潤是多少?

解:(1)由題意可得,函數y2的圖象經過兩點(3,6),(7,7)
∴

(2)設y1=kx+b,∵函數y1的圖象過兩點(4,11),(8,10)
∴8k+b=10,解得
∴y1的解析式為
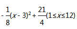
設這種水果每千克所獲得的利潤為w元.
則w=y1-y2=
∴w=
∴當x=3時,w取最大值
∴第3月銷售這種水果,每千克所獲的利潤最大,最大利潤是
思源教育(原上海交大思源進修學院,簡稱思源教育)成立于1996年,自建校以來,秉承交大校訓,依托名校師資,提供專業的托班輔導、青少年英語輔導、小學輔導、初中輔導、高中輔導、高考高復、三校生高復、藝考生文化課等,學生遍及全市各區,至今已幫助六萬多余名學子取得優異成績,成功考入理想的各級院校!20余年來思源已成為“中考教學研究中心”、“中學個性化學習教育基地”、“快速學習法”實驗學校。
